티스토리 뷰
목차

🧮 소수의 비밀을 풀 열쇠, 리만 가설!
수학을 조금이라도 공부해본 사람이라면 한 번쯤 들어봤을 리만 가설(Riemann Hypothesis).
이것은 소수의 분포를 예측하는 핵심 열쇠와 같은 존재입니다.
1859년, 독일 수학자 **베른하르트 리만(Bernhard Riemann)**이 처음 제안한 이후,
160년이 넘도록 전 세계 수학자들이 풀려고 했지만 아직까지 미해결 상태입니다.
하지만 이것이 단순한 수학적인 퍼즐이 아니라,
암호학, 물리학, 금융 수학까지 다양한 분야에 영향을 미친다는 사실을 알고 계셨나요?
오늘은 이 미스터리한 가설이 무엇인지, 그리고 왜 이렇게 중요한지 한 번 알아보겠습니다. 🧐
리만 가설, 무엇이길래 이렇게 중요한가?
리만 가설을 이해하려면 먼저 **소수(prime number)**부터 살펴봐야 합니다.
소수는 1과 자기 자신만으로 나누어떨어지는 숫자를 의미합니다. (예: 2, 3, 5, 7, 11, 13...)
그런데 문제는, 소수가 규칙적으로 나타나지 않는다는 점입니다.
즉, 아무리 계산해도 "다음 소수가 언제 등장할지" 명확한 패턴이 존재하지 않습니다.
이 문제를 해결하기 위해 등장한 것이 바로 **리만 제타 함수(Riemann Zeta Function)**입니다.
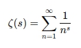
🔢 리만 제타 함수란?
리만 가설을 이해하려면 먼저 이 함수를 알아야 합니다.

이것이 바로 리만 제타 함수인데,
여기서 **s에 특정한 복소수 값을 넣었을 때 0이 되는 값(영점, zero)**을 찾는 것이 핵심입니다.
리만은 다음과 같은 주장을 했습니다.
💡 "모든 비자명한 영점(즉, 중요한 0)이 실수부가 정확히 1/2인 선 위에 존재한다!"
즉, 복소평면에서 특정한 직선 위에만 0이 생긴다는 것이 리만 가설의 핵심입니다.
만약 이것이 참이라면 소수의 분포를 예측할 수 있으며, 많은 수학적 난제가 해결될 것입니다. 🚀
💡 리만 가설이 증명되면 어떤 변화가 생길까?
이것은 단순히 "소수의 규칙을 찾는다" 정도의 문제가 아닙니다.
리만 가설이 증명되면 암호학, 금융, 물리학 등 다양한 분야에 엄청난 영향을 미칠 것입니다. 😵
🔒 1. 현대 암호 체계가 붕괴될 가능성
현재 인터넷 보안의 핵심은 **소수 기반 암호화(RSA 암호)**입니다.
현대 컴퓨터로는 큰 소수를 인수분해하는 것이 거의 불가능한데,
리만 가설이 증명되면 소수의 패턴이 더 예측 가능해짐 → 보안 체계가 약화될 가능성 증가
즉, 해킹 방지용으로 쓰이던 수학적 난제가 사라질 수도 있습니다. 😱
💰 2. 금융 시장과 확률 이론에 미치는 영향
금융 수학에서 주식 시장의 변동성을 예측할 때도 확률 이론이 중요한 역할을 합니다.
그런데 이러한 확률 모델 중 일부가 리만 가설과 관련된 수학적 원리를 사용합니다.
즉, 이것이 증명되거나 반증되면 경제 모델링에도 큰 변화가 생길 가능성이 있습니다.
🔭 3. 양자역학과 우주의 비밀?
심지어 양자역학에서도 리만 제타 함수와 비슷한 패턴이 발견됩니다.
특정한 원자의 에너지 상태나 파동 함수에서
리만 제타 함수의 영점과 유사한 수학적 성질이 나타나는 것입니다.
혹시 리만 가설이 증명된다면...
우주의 근본적인 법칙을 이해하는 데 한 걸음 더 가까워질지도 모릅니다. 🚀
🔥 160년 동안 아무도 풀지 못한 이유
"그냥 0이 1/2 선 위에만 있는지 확인하면 되는 것 아닌가?"
라고 생각할 수도 있지만, 복소수 세계에서는 이것이 엄청 어려운 문제입니다.
현재까지 리만 가설이 맞다는 증거는 매우 많습니다.
→ 컴퓨터로 계산한 수십억 개의 영점이 모두 1/2선 위에 존재함!
하지만 문제는, 이것을 무한대로 증명해야 한다는 점 😭
즉, 지금까지 확인된 것은 "맞을 가능성이 크다" 수준이며,
수학적으로 완벽한 증명은 아직 이루어지지 않았습니다.
그래서 현재까지도 세계 최고의 수학자들이 도전하고 있습니다.
만약 이것이 증명된다면?
💰 밀레니엄 문제 중 하나로 상금 100만 달러! 💰
하지만... 너무 어려워서 아직도 해결
🔮 리만 가설, 과연 해결될 수 있을까?
현재까지 수많은 수학자들이 도전했지만,
아직도 명확한 해답이 나오지 않았습니다.
💡 혹시 틀린 것은 아닐까? 라는 의심도 있지만,
전 세계 수학자들은 "맞을 가능성이 높다"는 쪽으로 보고 있습니다.
증명되는 순간, 현대 수학의 패러다임이 바뀔 수도 있습니다.
반대로 리만 가설이 틀렸다면? → 지금까지 쌓아온 수학적 이론 중 일부가 붕괴될 수도 있습니다. 😱
과연 누가 이 미스터리를 풀게 될까요?
앞으로도 수학계의 최대 난제 중 하나로 남을 가능성이 큽니다. 🤯
되지 않고 있습니다. ㅠㅠ
🎯 리만 가설, 한 줄 요약!
✔️ 소수의 분포를 설명하는 핵심 가설
✔️ 암호학, 금융, 물리학까지 영향을 미치는 난제
✔️ 160년 동안 누구도 증명하지 못한 미해결 문제
✔️ 밀레니엄 문제 중 하나, 상금 100만 달러
아직도 해결되지 않은 이 난제,
여러분이라면 도전해 보고 싶으신가요? 😆
혹시 더 궁금한 점이 있다면 댓글로 남겨 주세요! 🚀
📌 관련 태그
리만가설, 소수분포, 밀레니엄 문제, 현대수학, 암호학, 난제